이셀러스 고객센터

이셀러스의 새로운 소식과 공지사항을 알려드립니다.

인터파크 상품 등록 오류로 인한 작업 중단 안내(재공지)
  • 작성일 : 2021-02-04 08:53:15
  • 조회수 : 1067
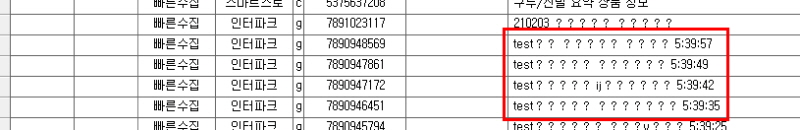
21.02.04 pm1시 ver.4.5.2131

한글 깨짐 현상은 패치 원복 통해 정상화 했습니다.
다만, 사이트로부터 오류메시지가 정확하게 오지 않아 진행했던 패치 원복으로 인해 실패 사유는 정확하게 노출 되지 않을 수 있습니다.

[예상할 수 없는 오류입니다.] 오류로 노출 될 경우 해당 상품은 건너 띄고 상품 등록 부탁 드립니다.
실패 메시지 노출은 담당 부서 재확인 후 정상화 될 예정이며, 시일이 소요 될 수 있는 점 양해 부탁 드립니다.
감사합니다.

안녕하세요!
비지니스 시작과 성공을 함께 하는 e-커머스 파트너 이셀러스 입니다.
 
[오류현상]

인터파크 상품 등록 시 일부 정보가 깨지는 현상이 발생되어 등록 작업 중단 요청 드립니다.
영문, 숫자는 정상 노출되나 한글은 깨져서 등록 되고 있습니다.
 - 상품명, 원산지, 브랜드, 제조사, 배송정보 등


 

해당 증상 관련하여 담당 부서 확인 중에 있으며, 정상화 시 해당 게시판 통해 안내 드리도록 하겠습니다.

관련하여 궁금하신 사항은 ☎고객센터 1544-8318 로 문의 주시기 바랍니다.
감사합니다.
 
이전글 [이셀러스] 인터파크 일부 상품 등록 실패 현상 안내(정상화) 2021.02.03
다음글 [이셀러스] 2/5(금) 이셀러스 해피 패밀리데이 안내 2021.02.04